For the latest version of JMP Help, visit JMP.com/help.


Publication date: 03/03/2025

Image shown hereModel Summary

In the Generalized Regression report, the Model Summary section describes the model that you have fit and provides summary information about the fit itself.

Image shown hereModel Description Detail

The first part of the Model Summary report gives information that describes the model that you have fit.

Response

The column assigned to the Y role in the Fit Model window. When two columns are used to specify interval censoring, both column names are listed.

Distribution

The Distribution selected in the Fit Model window. For Quantile Regression, the value of the specified quantile for the response is also displayed.

Estimation Method

The Estimation Method selected in the Model Launch panel.

Validation Method

The Validation Method selected in the Model Launch panel.

Mean Model Link

The link function for the model for the mean, based on the Distribution selected in the Fit Model window.

Location Model Link

The link function for the model for the location parameter, shown when either Cauchy or t(5) is selected as the Distribution in the Fit Model window.

Scale Model Link

The link function for the model for the scale parameter, based on the Distribution selected in the Fit Model window.

Probability Model Link

The link function for the model for the probability, based on the Distribution selected in the Fit Model window.

Dispersion Model Link

The link function for the model for the dispersion parameter, based on the Distribution selected in the Fit Model window.

Zero Inflation Model Link

The link function for the model for the zero inflation parameter, based on the Distribution selected in the Fit Model window.

Lower Detection Limit

The lower detection limit specified in a Detection Limits column property assigned to the response column.

Upper Detection Limit

The upper detection limit specified in a Detection Limits column property assigned to the response column.

Censor Column

The column assigned to the Censor role in the Fit Model window.

Censor Code

The value in the Censor column that designates right-censored observations. This is the value that was specified in the Censor Code list in the Fit Model window.

Image shown hereModel Fit Detail

The second part of the Model Summary report gives statistics related to the model fit. If either Holdback or Validation Column is selected as the Validation Method, these statistics are computed separately for the training and validation sets. This part of the Model Summary report is not available if either KFold or Leave-One-Out is selected as the Validation Method.

Number of rows

The number of rows.

Sum of Frequencies

The sum of the values of a column assigned to the Freq or Weight role in the Fit Model window.

Note: For -LogLikelihood, BIC, AICc, and ERIC, smaller is better. See Likelihood, AICc, and BIC.

-LogLikelihood

The negative of the natural logarithm of the likelihood function for the current model. See Likelihood, AICc, and BIC.

Note: -LogLikelihood is not available for Quantile Regression.

Objective Function

(Available only for Quantile Regression.) The value of the function that is minimized to fit the specified quantile regression model. The function that is minimized is the check-loss function.

Number of Parameters

The number of nonzero parameters in the current model.

BIC

The Bayesian Information Criterion, which is defined as follows:

Equation shown here

See Likelihood, AICc, and BIC.

AICc

The corrected Akaike Information Criterion, which is defined as follows:

Equation shown here

See Likelihood, AICc, and BIC.

ERIC

(Available only for exponential family distributions and when the Lasso or adaptive Lasso estimation method is specified.) The Extended Regularization Information Criterion. See Hui et al. (2015). ERIC is defined as follows:

Equation shown here

where λ is the value of the tuning parameter and φ is the nuisance parameter.

Generalized RSquare

(Not available for Quantile Regression.) An extension of the RSquare measure that can be applied to general regression models. Generalized RSquare compares the likelihood of the fitted model (LM) to the likelihood of the intercept-only (constant) model (L0). It is scaled to have a maximum of 1. For distributions other than Binomial, the Generalized RSquare is defined as follows:

Equation shown here

When Binomial is the specified Distribution, the Generalized RSquare is defined as follows:

Equation shown here

A Generalized RSquare value of 1 indicates a perfect model; a value of 0 indicates a model that is no better than a constant model. The Generalized RSquare measure simplifies to the traditional RSquare for continuous normal responses in the standard least squares setting. Generalized RSquare is also known as the Nagelkerke or Craig and Uhler R2, which is a normalized version of Cox and Snell’s pseudo R2. See Nagelkerke (1991).

Note: Generalized RSquare is replaced by RSquare when the Normal distribution is specified.

Caution: You should not compare Generalized RSquare values for models that use different response distributions. The comparison being made is to the intercept-only model with a given response distribution.

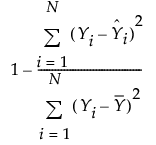
RSquare

(Available only when the Normal distribution is specified.) Estimates the proportion of variation in the response that can be attributed to the model rather than to random error. An RSquare value of 1 indicates a perfect model; a value of 0 indicates a model that is no better than a constant model. The RSquare value is calculated as follows:

Equation shown here

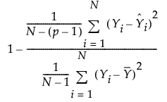
RSquare Adj

(Available only when the Normal distribution is specified and the estimation method does not involve a penalty.) Adjusts the RSquare statistic for the number of parameters in the model. Rsquare Adj facilitates comparisons among models with different numbers of parameters. The computation uses the degrees of freedom. The RSquare Adj value is calculated as follows:

Equation shown here

where N is the number of observations and p is the number of parameters.

Note: When there is a Validation set, the adjusted RSquare statistic is reported only for the Training set.

RASE

(Available only when the Normal distribution is specified.) The Root Average Square Error (RASE) is the square root of the mean squared prediction error in the current model. See “RASE”.

Lambda Penalty

(Available only for the Dantzig Selector, Lasso, Elastic Net, Ridge, and Double Lasso estimation methods.) The value of the tuning parameter λ for the current model. See Statistical Details for Estimation Methods.

Want more information? Have questions? Get answers in the JMP User Community (community.jmp.com).