This section contains statistical details for the options in the Continuous Fit menu in the Distribution platform. Unless otherwise specified, confidence intervals for parameter estimates use likelihood-based calculations. For more information about likelihood-based confidence intervals, see Statistical Details for Profile Likelihood Confidence Limits in Predictive and Specialized Modeling. If the Y column has a Detection Limits column property, the Continuous Fit options fit a censored distribution and only a subset of distributions are available. For more information about fitting distributions to censored data, see Meeker and Escobar (1998).
The Fit Normal option estimates the two parameters of the normal distribution:
• μ (the mean) defines the location of the distribution on the x-axis
• σ (standard deviation) defines the dispersion or spread of the distribution
The standard normal distribution occurs when μ = 0 and σ = 1.
pdf:
for
;
; 0 < σ
E(x) = μ
Var(x) = σ2
Note: Confidence intervals for the mean estimate are based on the t distribution. Confidence intervals for the scale parameter are based on the χ2 distribution.
The Fit Cauchy option fits a Cauchy distribution with location μ and scale σ.
pdf:
for
;
; 0 < σ
E(x) = undefined
Var(x) = undefined
The Fit Student’s t option fits a Student’s t distribution with location μ, scale σ, and degrees of freedom ν.
pdf:
for
;
; 0 < σ; 1 ≤ ν
E(x) = μ for 1 < ν
Var(x) = σ2ν/(ν-2) for 2 < ν
Note: When ν = 1, the Student’s t distribution is equivalent to the Cauchy distribution.
The Fit SHASH option fits a sinh-arcsinh (SHASH) distribution. The SHASH distribution is based on a transformation of the normal distribution and includes the normal distribution as a special case. It can be symmetric or asymmetric. The shape is determined by the two shape parameters, γ and δ. For more information about the SHASH distribution, see Jones and Pewsey (2009).
pdf:
for
; 0 < δ, σ
where
is the standard normal pdf

• When γ = 0 and δ = 1, the SHASH distribution is equivalent to the normal distribution with location θ and scale σ.
• The transformation sinh(w) is normally distributed with μ = 0 and σ = 1.
The Fit ZI SHASH option fits a zero-inflated (ZI) sinh-arcsinh (SHASH) distribution. The zero-inflated SHASH distribution is equivalent to a SHASH distribution with a point mass at zero. It can be symmetric or asymmetric.
pdf:
for
; 0 < δ, σ
where
is the standard normal pdf

Note: Confidence intervals for ZI SHASH distribution parameter estimates use Wald-based calculations.
The exponential distribution is especially useful for describing events that randomly occur over time, such as survival data. The exponential distribution might also be useful for modeling elapsed time between the occurrence of non-overlapping events. Examples of non-overlapping events include the following: the time between a user’s computer query and response of the server, the arrival of customers at a service desk, or calls coming in at a switchboard.
The Exponential distribution is a special case of the two-parameter Weibull when β = 1 and α = σ, and also a special case of the Gamma distribution when α = 1.
pdf:
for 0 < σ; 0 ≤ x
E(x) = σ
Var(x) = σ2
Devore (1995) notes that an exponential distribution is memoryless. Memoryless means that if you check a component after t hours and it is still working, the distribution of additional lifetime (the conditional probability of additional life given that the component has lived until t) is the same as the original distribution.
The Fit ExGaussian option fits a distribution that is the sum of a normal distribution and an exponential distribution. The ExGaussian option estimates the location, μ, and scale, σ, of the normal distribution portion and the exponential distribution parameter λ.
pdf:
for
;
; 0 < σ, λ
where Φ(·) is the standard normal cdf.
E(x) = μ + 1/λ
Var(x) = σ2 + 1/λ2
For more information about the exponentially modified Gaussian distribution, see Ament et al. (2019) and Palmer et al. (2011). Note that the parameterization of the exponential portion of the distribution differs in some sources. The parameterization in the Fit ExGaussian option uses the reciprocal of the parameterization that is used in the Fit Exponential option in the Distribution platform.
The Fit Gamma option estimates the gamma distribution parameters, α > 0 and σ > 0. The parameter α, called alpha in the fitted gamma report, describes shape or curvature. The parameter σ, called sigma, is the scale parameter of the distribution. The data must be greater than zero.
pdf:
for 0 < x; 0 < α, σ
E(x) = ασ
Var(x) = ασ2
• The standard gamma distribution has σ = 1. Sigma is called the scale parameter because values other than 1 stretch or compress the distribution along the horizontal axis.
• The chi-square
distribution occurs when σ = 2 and α = ν/2.
• The exponential distribution occurs when α = 1.
The standard gamma density function is strictly decreasing when α ≤ 1. When α > 1, the density function begins at zero, increases to a maximum, and then decreases.
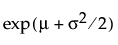
The Fit Lognormal option estimates the parameters μ (scale) and σ (shape) for the two-parameter lognormal distribution. A variable Y is lognormal if and only if X = ln(Y) is normal. The data must be greater than zero.
pdf:
for
;
; 0 < σ
E(x) = 
Var(x) = 
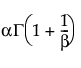
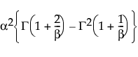
The Weibull distribution has different shapes depending on the values of α (scale) and β (shape). It often provides a good model for estimating the length of life, especially for mechanical devices and in biology.
The pdf for the Weibull distribution is defined as follows:
pdf:
for α,β > 0; 0 < x
E(x) = 
Var(x) = 
where Γ(·) is the Gamma function.
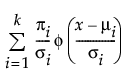
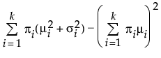
The Fit Normal 2 Mixture and Fit Normal 3 Mixture options fit a mixture of two or three normal distributions. These flexible distributions are capable of fitting bimodal or multi-modal data. A separate mean, standard deviation, and proportion of the whole is estimated for each group. In the following equations, k equals the number of normal distributions in the mixture.
pdf: 
E(x) =
Var(x) =
where μi, σi, and πi are the respective mean, standard deviation, and proportion for the ith group, and φ(·) is the standard normal pdf.
Note: Confidence intervals for normal mixture distribution parameter estimates use Wald-based calculations.
The Fit Johnson option selects and fits the best-fitting distribution from the Johnson system of distributions, which contains three distributions that are all based on a transformed normal distribution. These three distributions are the following:
• Johnson Su, which is unbounded.
• Johnson Sb, which has bounds on both tails. The bounds are defined by parameters that can be estimated.
• Johnson Sl, which is bounded in one tail. The bound is defined by a parameter that can be estimated. The Johnson Sl family contains the family of lognormal distributions.
Only the fit for the selected distribution is reported. Information about selection procedures and parameter estimation for the Johnson distributions can be found in Slifker and Shapiro (1980). The parameter estimation does not use maximum likelihood.
Johnson distributions are popular because of their flexibility. In particular, the Johnson distribution system is noted for its data-fitting capabilities because it supports every possible combination of skewness and kurtosis. However, the SHASH distribution is also very flexible and is recommended over the Johnson distributions.
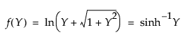
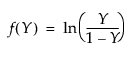
If Z is a standard normal variate, then the system is defined as follows:

where, for the Johnson Su:


where, for the Johnson Sb:


and for the Johnson Sl, where σ = ±1.


pdf:
for -∞ < x, θ, γ < ∞; 0 < θ,δ
pdf:
for θ < x < θ+σ; 0 < σ
pdf:
for θ < x if σ = 1; θ > x if σ = -1
where φ(·)is the standard normal pdf.
Note: Confidence intervals for Johnson distribution parameter estimates use Wald-based calculations.
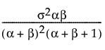
The beta distribution is useful for modeling the behavior of random variables that are constrained to fall in the interval 0,1. For example, proportions always fall between 0 and 1. The Fit Beta option estimates two shape parameters, α > 0 and β > 0. The beta distribution has values only in the interval 0,1.
pdf:
for 0 < x < 1; 0 < σ,α,β
E(x) = 
Var(x) = 
where B(·) is the Beta function.
In the Compare Distributions report, the Distribution list is sorted by AICc in ascending order. Use the check boxes to show or hide a fit report and overlay curve for the selected distribution.
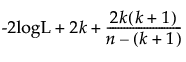
The formulas for AICc and BIC are defined as follows:
AICc = 
BIC = 
where:
– logL is the log-likelihood.
– n is the sample size.
– k is the number of parameters.
The AICc Weight column shows normalized AICc values that sum to one. The AICc weight can be interpreted as the probability that a particular distribution is the true distribution given that one of the fitted distributions is the truth. Therefore, the distribution with the AICc weight closest to one is the better fit. The AICc weights are calculated using only nonmissing AICc values:
AICcWeight = exp[-0.5(AICc-min(AICc))] / sum(exp[-0.5(AICc-min(AICc))])
where min(AICc) is the smallest AICc value among the fitted distributions.
For more information about the measures in the Compare Distributions report, see Likelihood, AICc, and BIC in Fitting Linear Models.