Publication date: 07/15/2025

Product Function

The Product() function is similar to Summation() except that it multiplies the body results rather than adding them. The syntax is the same as for Summation(). For example:

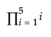
p = Product( i = 1, 5 , i );

returns 120, the result of 1*2*3*4*5.

In this example, the initial value of i is 1, the upper limit is 5, then all integer values of i up to 5 are multiplied.

Here is the equivalent in the Formula Editor:

Equation shown here

Want more information? Have questions? Get answers in the JMP User Community (community.jmp.com).