Publication date: 07/15/2025

Statistical Details for Distance Measures

This section contains statistical details for the distance measures used in the Outlier Analysis plots in the Multivariate platform.

Mahalanobis Distance Measures

The Mahalanobis distance takes into account the correlation structure of the data and the individual scales. For each value, the Mahalanobis distance is denoted Mi and is computed as follows:

Equation shown here

where:

Yi is the data for the ith row

Equation shown here is the row of means

S is the estimated covariance matrix for the data

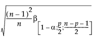
The UCL reference line (Mason and Young 2002) drawn on the Mahalanobis Distances plot is computed as follows:

UCLMahalanobis = Equation shown here

where:

n = number of observations

p = number of variables (columns)

Equation shown here = (1–α)th quantile of a Beta Equation shown here distribution

If a variable is an exact linear combination of other variables, then the correlation matrix is singular and the row and the column for that variable are zeroed out. The generalized inverse that results is still valid for forming the distances.

Jackknife Distance Measures

The jackknife distance is calculated with estimates of the mean, standard deviation, and correlation matrix that do not include the observation itself. For each value, the jackknife distance is computed as follows:

Equation shown here

where:

n = number of observations

p = number of variables (columns)

Mi = Mahalanobis distance for the ith observation

The UCL reference line (Penny 1996) drawn on the Jackknife Distances plot is calculated as follows:

Equation shown here

T2 Distance Measures

The T2 distance is the square of the Mahalanobis distance, so Ti2 = Mi2.

The UCL on the T2 distance is:

Equation shown here

where

n = number of observations

p = number of variables (columns)

Equation shown here = (1–α)th quantile of a Beta Equation shown here distribution

Multivariate distances are useful for spotting outliers in many dimensions. However, if the variables are highly correlated in a multivariate sense, then a point can be seen as an outlier in multivariate space without looking unusual along any subset of dimensions. In other words, when the values are correlated, it is possible for a point to be unremarkable when seen along one or two axes but still be an outlier by violating the correlation.

Want more information? Have questions? Get answers in the JMP User Community (community.jmp.com).