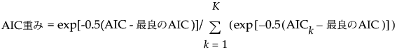
「時系列分析」プラットフォームの「モデルの比較」レポートには、モデルの統計量を含む表とプロットがあります。新しいモデルをあてはめるたびに、「モデルの比較」表に別の色を使った新しい行が追加されます。「モデルの比較」表は、各モデルの適合度統計量をまとめたもので、同じ時系列データにあてはめた複数のモデルを比較できます。デフォルトでは、モデルがAIC統計量の昇順に並べられます。モデルを別の統計量で並べ替えるには、「モデルの比較」表の任意の列を右クリックし、[列の値で並べ替え]を選択します。別の方法として、列見出しをクリックして並べ替えることもできます。各適合度統計量の定義については、「モデルの要約」表を参照してください。「モデルの比較」表には「重み」という統計量も表示されます。この「重み」は「AIC 重み」であり、AICの大きさを確率の形式に正規化したものです。「AIC重み」は、次式で計算されます。

Kはモデルの合計数、AICkはモデルkのAICです。また、「最良のAIC」は、あてはめたモデルのAICのうち、最小となっているAICです。
保留データを指定した場合、学習データに基づいて計算されたあてはめ統計量は「モデルの比較」表に表示されません。代わりに、保留データにおける個々のモデルの予測性能を判断するための以下の指標(誤差の標準偏差(RMSE)、誤差の平均平方(MSE)、平均絶対誤差率(MAPE)、平均絶対誤差(MAE))が計算されます。デフォルトでは、モデルがRMSE統計量の昇順に並べられます。モデルを別の統計量で並べ替えるには、「モデルの比較」表の任意の列を右クリックし、[列の値で並べ替え]を選択します。別の方法として、列見出しをクリックして並べ替えることもできます。各適合度統計量の定義については、「モデルの要約」表を参照してください。
注意: 保留データを指定しないで、状態空間平滑化モデルとARIMAモデルの組み合わせをあてはめた場合は、「モデルの比較」表の上部に警告メッセージが表示されます。この場合、状態空間平滑化モデルとARIMAモデルの比較はできません。なぜなら、尤度の値や尤度に基づく情報量規準(AIC統計量など)は、2つの異なるモデルクラス間で比較できないからです。ただし、保留データを指定した場合は、RMSE統計量が使用されるため、モデルの比較が可能になります。
図18.12 モデルの比較
[レポート]チェックボックスを使うと、どのモデルのレポートを表示するかを指定できます。「モデルの比較」表の右側に2つのグラフが表示されます。そのうちの上側に描かれているグラフは、元データ・予測値・予測限界をプロットしたものです。その下に、残差の自己相関関数(ACF)と偏自己相関関数(PACF)のプロットが表示されます。グラフにどのモデルを表示するかは、[グラフ]のチェックボックスで指定します。
図18.13 モデルのプロット
「モデルの比較」レポートでは、各モデルの赤い三角ボタンのメニューに以下のオプションがあります。
新規あてはめ
モデルを指定するウィンドウが開きます。設定値を変更し、新しいモデルをあてはめることができます。
1回シミュレーション
(保留データを指定した場合は使用できません。)時間軸の上限まで、1回のシミュレーションを行います。シミュレーションの結果は、「モデルの比較」の時系列グラフに表示されます。
複数回シミュレーション
(保留データを指定した場合は使用できません。)時間軸の上限まで、指定した回数のシミュレーションを行います。シミュレーションの結果は、「モデルの比較」の時系列グラフに表示されます。
モデルシミュレーションの削除
(保留データを指定した場合は使用できません。)そのモデルのシミュレーション結果を削除します。
すべてのシミュレーションの削除
(保留データを指定した場合は使用できません。)すべてのモデルのシミュレーション結果を削除します。
シミュレーションの生成
(保留データを指定した場合は使用できません。)そのモデルに対してシミュレーションを生成し、結果をデータテーブルに保存します。乱数シード値・シミュレーション数・予測する期数を指定します。
シード値の設定
(保留データを指定した場合は使用できません。)軌跡のシミュレーションに使う乱数のシード値を指定します。
あてはめの削除
レポートウィンドウから該当するモデルを削除します。
すべてのモデルの削除
レポートウィンドウから、「モデルの比較」表に一覧されているすべてのモデルを削除します。
選択されていないモデルの削除
レポートウィンドウから、「レポート」のチェックボックスが選択されていないすべてのモデルを削除します。
選択されているモデルの削除
レポートウィンドウから、「レポート」のチェックボックスが選択されているすべてのモデルを削除します。
すべてのレポートの非表示
レポートウィンドウで、「モデルの比較」表に一覧されているすべてのモデルを非表示にします。これは、「レポート」のすべてのチェックボックスの選択を解除するのと同じことです。
すべてのグラフの非表示
モデルプロットで、「モデルの比較」表に一覧されているすべてのモデルを非表示にします。これは、「グラフ」のすべてのチェックボックスの選択を解除するのと同じことです。
メモ: 「時系列分析」プラットフォームでは、除外されたデータ行が欠測値として扱われます。データテーブルの最後のいくつかのデータ行が除外された場合、またはそれらが欠測値の場合、「モデルの比較」レポートのシミュレーションオプションは正しく機能しません。シミュレーション機能では、時系列データの最後のいくつかのデータ行が使用されます。最後のいくつかのデータ行がないと、その後ずっと欠測値が生成されることになります。