「モデルのあてはめ」プラットフォームの[標準最小2乗]手法の検出力に関連するオプションは、応答が連続尺度の場合だけ使えます。検出力は、次のような個所で計算できます。
レポートの赤い三角ボタンメニューから[推定値]>[パラメータに対する検出力]を選択すると、パラメータ推定値の事後的な検出力が求められます。このオプションを選択すると、「パラメータ推定値」レポートに、有意水準を5%としたときの、最小有意値、最小有意数、調整済み検出力が表示されます。
ある効果のF検定における検出力を求めるには、その効果の赤い三角ボタンメニューから[検出力の分析]を選択します。各効果の赤い三角ボタンメニューは、手法として[要因のスクリーニング]と[最小レポート]を選んだ場合は、「効果の詳細」の下に表示されます。手法として[効果てこ比]を選んだ場合は、ウィンドウの右側に表示されます。
1つまたは複数の対比の検定における検出力を求めるには、まず、効果の赤い三角ボタンメニューから[最小2乗平均の対比]を選択します。次に、分析する対比を定義し、[完了]をクリックします。そして、「対比」の赤い三角ボタンをクリックし、メニューから[検出力の分析]を選択します。
カスタム検定における検出力を求めるには、まず、応答の赤い三角ボタンメニューから[推定値]>[カスタム検定]を選択します。次に、分析する対比を定義し、[完了]をクリックします。そして、「カスタム検定」の赤い三角ボタンをクリックし、メニューから[検出力の分析]を選択します。
最初の「パラメータ推定値」のケース以外では、[検出力の分析]を選択すると「検出力の詳細」ウィンドウが開きます。そのウィンドウで、検出力の計算に必要な情報を入力してください。
dという記号で表される効果の大きさ(effect size; 効果量)は、パラメータの真値が帰無仮説からどれぐらい離れているかを表しています。帰無仮説は、1つの対比で表されることもあれば、複数の対比で表される場合もあるでしょう。dは、対比の真値が帰無仮説の値からどれぐらい離れているかを示しています。
この機能での効果の大きさは次のように定義されています。

ここで、
は、パラメータの真値から計算した仮説検定の平方和、nは標本サイズです。
データから検出力を事後的に計算したい場合は、dを求める上式の平方和として、データから計算された平方和を代入します。
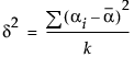
バランス(釣合い)のとれた一元配置分散分析では、次式により、効果の大きさ(の2乗)は定義されます。次式において、因子はk水準で、第i群の応答平均はaiとします。

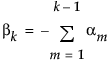
JMPでは、i =1, 2, ..., k – 1のときに、

および

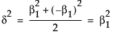
となるようにパラメータ化されています。よって、JMPで使われているパラメータで、2群のt検定におけるdを表すと、次式のようになります。

つまり
バランス(釣合い)がとれていない一元配置分散分析では、次式により、効果の大きさ(の2乗)は定義されます。
次式において、因子はk水準とし、第i群の応答平均と標本サイズをそれぞれai、niと記します(
の場合)。

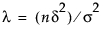
F検定の検出力は、真の効果の大きさが指定した値であるときに、F検定が有意水準aで有意になる確率です。真の効果の大きさがdであるとき、検定統計量は、次の非心度パラメータを持つ非心F分布に従います。

帰無仮説が真の場合(つまり、効果の大きさが0の場合)、検定統計量は、非心度パラメータが0である通常のF分布に従います。
lが大きいほど、検出力は高くなります。また、標本サイズnや効果の大きさdが大きくなるほど、誤差分散s2が小さくなるほど、検出力は高くなります。
一部の書籍では(たとえば、Cohen, 1977)、JMPで使用されている生の効果の大きさではなく、標準化した効果の大きさD = d/sを使用しています。標準化した効果の大きさで表した場合、非心度パラメータはl = nD2になります。
「検出力の詳細」ウィンドウでは、最初、dは
に設定されています。SSHypは仮説の平方和、nは現在のデータにおける標本サイズです。SSHypを用いて計算されたdは、真の効果の大きさではなく、それを推定した値になっています。この推定値にはバイアスがあります(Wright and O’Brien, 1988)。dの推定値を使って検出力を計算するには、[検出力を求める]ではなく、[調整済み検出力と信頼区間]で計算したほうが良いでしょう。調整済みの検出力の計算には、バイアスを調整したdの推定値が使われます。調整済み検出力の計算を参照してください。
標本サイズと検出力の関係をグラフで描くには、「検出力」レポートの下部にある赤い三角ボタンをクリックし、[検出力プロット]オプションを選択します。「検出力」表の「数」列に対して、検出力がプロットされます。Figure 3.52のグラフは、検出力の事後計算の例の「検出力」表をプロットした結果です。
図3.52 標本サイズと検出力のプロット
最小有意数(LSN; Least Significant Number)は、α(有意水準)、σ(誤差の標準偏差)、δ(効果の大きさ)が与えられているときに、結果が有意となるのに最低限必要な標本サイズです。最小有意数に基づいて、将来の標本サイズを決めるのはお勧めできません。
メモ: 最小有意数はδとσが指定された値に固定されているときに有意となる標本サイズを意味しており、それらの値がばらつくことを考慮していません。
最小有意数には、次のような特徴があります。
• 最小有意数が実際の標本サイズであるnより小さい場合、現在の結果は有意になっています。
• 最小有意数がnより大きい場合、現在の結果は有意になっていません。最小有意数は、現在のデータから計算された誤差標準偏差の推定値や、データの構造がまったく変わらないという条件のもとで、検定が有意になるのに必要な標本サイズです。
• 最小有意数がnと等しい場合、p値は有意水準(α)と等しくなっており、検定が有意か否かの境界にあります。
• 最小有意数がnと等しいときの検出力は、常に0.5以上になります。差を検出する実験を計画するときに検出力を0.5ぐらいに設定するのは、検出力が低すぎます。
最小有意値(LSV; Least Significant Value)は、自由度が1である仮説検定に対して計算されます。自由度が1である仮説検定には、モデルパラメータに対する検定や、より一般的な対比に対する検定があります。最小有意値は、検定が有意となるパラメータ値の最小値です。最小有意値は、確率ではなく、パラメータ値を単位として検定の有意度を表していると言えます。
最小有意値には、次のような特徴があります。
• パラメータ推定値の絶対値や対比の絶対値が最小有意値以上の場合、現在のデータから得られるp値はα以下になります。
• パラメータ推定値の絶対値または対比が最小有意値と等しい場合、現在のデータから得られるp値はちょうどαになります。
• 最小有意値は、パラメータ値や対比に対する信頼水準1 – aの両側信頼区間の半分になっています。なお、1 – a信頼区間の中心は、点推定値です。
ある検定の検出力は、その検定が有意となる確率です。検出力は、効果の大きさd、有意水準a、誤差の標準偏差s、および標本サイズnの関数です。検出力は、指定した有意水準で、指定した効果の大きさを検出できる確率です。実質的または科学的に意味がある大きさをもつ効果を高い確率で検出できるような実験を計画するのが望ましいです。
検出力には、次のような特徴があります。
• パラメータの真値が帰無仮説の値と等しい場合、検出力の値は有意水準αになります。有意水準は通常、0.05などの小さい値です。帰無仮説が真であるときに、検定が有意となってしまう確率は低いほうがいいので、有意水準には小さな値を設定するべきです。
• パラメータの真値が帰無仮説の値と異なる場合には、検定が有意となって差を検出できたほうが良いので、検出力はなるべく高くなるのが望ましいです。
• 標本サイズが大きくなるほど、誤差分散が小さくなるほど、または、パラメータの真値と帰無仮説での値の差が大きくなるほど、検出力は高くなります。
検出力の事後計算では、検出力を計算するにあたって、母集団での真値ではなく、標本の推定値を用います。そのままの値を代入して計算した非心度パラメータの推定値には、正のバイアスがあります(Wright and O’Brien, 1988)。調整済み検出力の計算は、このバイアスを修正した非心度パラメータ推定値を用います。
調整済み検出力は、バイアスを調整した、より適切な検出力になっています。信頼区間も計算されますが、その区間の幅は広くなる傾向にあります。Wright and O’Brien(1988)を参照してください。
調整済み検出力とその信頼区間は、データから求められるdの推定値(デフォルトで求められた値)だけに対して計算できます。δに任意の値を分析者が設定して、調整済み検出力や信頼区間を求めることはできません。
調整済み検出力の計算を参照してください。
検出力の事前計算は、「ある大きさの差が存在していて、誤差分散が特定の値である場合に、現在、想定している標本サイズや有意水準で差を検出できるかどうか」を調べるのに役立ちます。検出力の事前計算では、グループ平均や標本サイズを入力する必要があります。また、誤差の標準偏差sを指定する必要があります。
3群の平均を比較する例を取り上げてみましょう。高い検出力をもつための標本サイズを求めるには、まず、[実験計画(DOE)]>[計画の診断]>[標本サイズ/検出力]を選択し、[k標本平均]を選択します。「標準偏差」のテキスト入力ボックスに誤差の標準偏差(の予想される値)を入力します。次に、平均のリストに、(検出したい差をもつ)平均の値をキーボードで入力します。たとえば、ある1群と他の2群との平均差が8である状況を検出したい場合には、40、40、48というように入力します。検出力は平均間の差だけに依存しますので、0、0、8などと入力しても構いません。
この状態で[続行]をクリックすると、検出力と標本サイズのグラフが表示されます。「標本サイズ」ウィンドウで、「検出力」または「標本サイズ」を入力すると、もう一方の値が自動的に計算され、「標本サイズ」ウィンドウに表示されます。なお、求められた標本サイズは全体での標本サイズです。[k標本平均]の計算では、グループごとの標本サイズは等しいと仮定されています。1群あたりの標本サイズを得るには、得られた標本サイズを3で割ってください。k標本平均の詳細については、『実験計画(DOE)』の「分散分析の検出力」を参照してください。
異なる標本サイズのグループで実験を計画する場合を取り上げてみましょう。バクテリアの数を減らすと報告されている2種類の処置に関する実験を考えています。これら2種類の処置を、処置を受けないコントロール群(対照群)と比較することが目的です。ここでは、どちらかの処置群とコントロール群の平均間で少なくとも8単位の差がある場合には、その差を検出したいとします。コントロール群の標本サイズは、処置群の標本サイズの倍で、また、2つの処置群は同じ標本サイズであるとします。前回の実験から、誤差の標準偏差は5 ~ 6であることが分かっています。
この例のような状況で、検出力を事前計算するには、「Bacteria.jmp」サンプルデータのような情報を含むデータテーブルを用意します。
図3.53 「Bacteria.jmp」データテーブル
• 「グループ」列は、群の名前を含んでいます。
• 「平均」列で、検出したい差を定義しています。ここでは、コントロール群の平均を40としています。どちらかの処置群の平均がコントロール群の平均よりも少なくとも8だけ大きい場合に、その差を検出する計画を立てるのがここでの目的です。そこで、2つの処置群のいずれかに、48という平均を割り当てます。そして、もう一方の処置群の平均には、コントロール群と同じ40という平均を割り当てます。なお、コントロール群といずれか一方の処置群に平均0を割り当てて、もう一方の処置群に平均8を割り当てても同じ結果となります。また、これらの平均値や差は、母集団での平均値や差です。
• 「サイズ(N)」列には、各群の相対的な標本サイズを指定します。この列では、コントロール群の標本サイズを各処置群のサイズの倍にすることが指定されています。ここでは、1と2を指定していますが、2と4などを指定しても構いません。
メモ: このサンプルデータの「サイズ(N)」列には、「度数」の役割が割り当てられています。「列」パネルの列名の右側にあるアイコンを確認してください。
次に、「モデルのあてはめ」を使って一元配置分散分析を行います(Figure 3.54)。起動ウィンドウで、「サイズ(N)」は[度数]に指定されています。また、「平均」を[Y]に、「グループ」をモデル効果に指定します。最後に、[最小レポート]オプションを選択します。
図3.54 バクテリア調査の「モデルのあてはめ」起動ウィンドウ
[実行]をクリックすると、「最小2乗法によるあてはめ」レポートが表示されます。データには誤差がないため、誤差の標準偏差や平方和は0.0になっています。検出力を求めるには、想定される誤差分散の範囲を入力します。ここでは、誤差分散は5から6までの大きさだと想定します。
1. 「効果の詳細」の開閉ボタンをクリックし、レポートを開きます。
2. 「グループ」の赤い三角ボタンをクリックして、[検出力の分析]を選択します。
3. 誤差分散の大きさとして5から6までの範囲を探索するには、sの最初の入力ボックスに「5」を入力し、2番目の入力ボックスに「6」を入力します(Figure 3.55)。
4. dには「3.464102」と入力されています。この効果の大きさは、サンプルデータに入力されているグループ平均から計算されています。なお、サンプルデータには、効果の大きさを計算する式を含む列が、非表示の状態で3列あります。バランスのとれていない一元配置を参照してください。
5. 検出力を求める標本サイズを指定します。「数」の下にある最初の入力ボックスに「16」、2番目に「64」、3番目に間隔として「4」を入力します(Figure 3.55)。
6. [検出力を求める]にチェックを入れます。
7. [完了]をクリックします。
図3.55 バクテリア調査の「検出力の詳細」ウィンドウ
Figure 3.56のような「検出力の詳細」レポートが表示されます。このレポートには、16~64までの4刻みの標本サイズ、s = 5および6、a = 0.05での検出力が表示されています。s = 5のとき、90%以上の検出力を得るには、全体の標本サイズを32にする必要があります。つまり、コントロール群の標本サイズを16、各処置群の標本サイズを8にする必要があります。一方、s = 6のときは、全体の標本サイズを44にする必要があります。
図3.56 バクテリア調査の「検出力の詳細」レポート
Figure 3.57は、2つのsの値において、標本サイズに対して検出力をプロットしたグラフです。このグラフを表示するには、「検出力の詳細」レポートの表の最下部にある赤い三角ボタンをクリックします。この図では、赤色の曲線がs = 5 に対応し、緑色の曲線がs = 6に対応しています。
図3.57 バクテリア調査の「検出力プロット」